您现在的位置:
首页
>
政策法规
>
政策文件
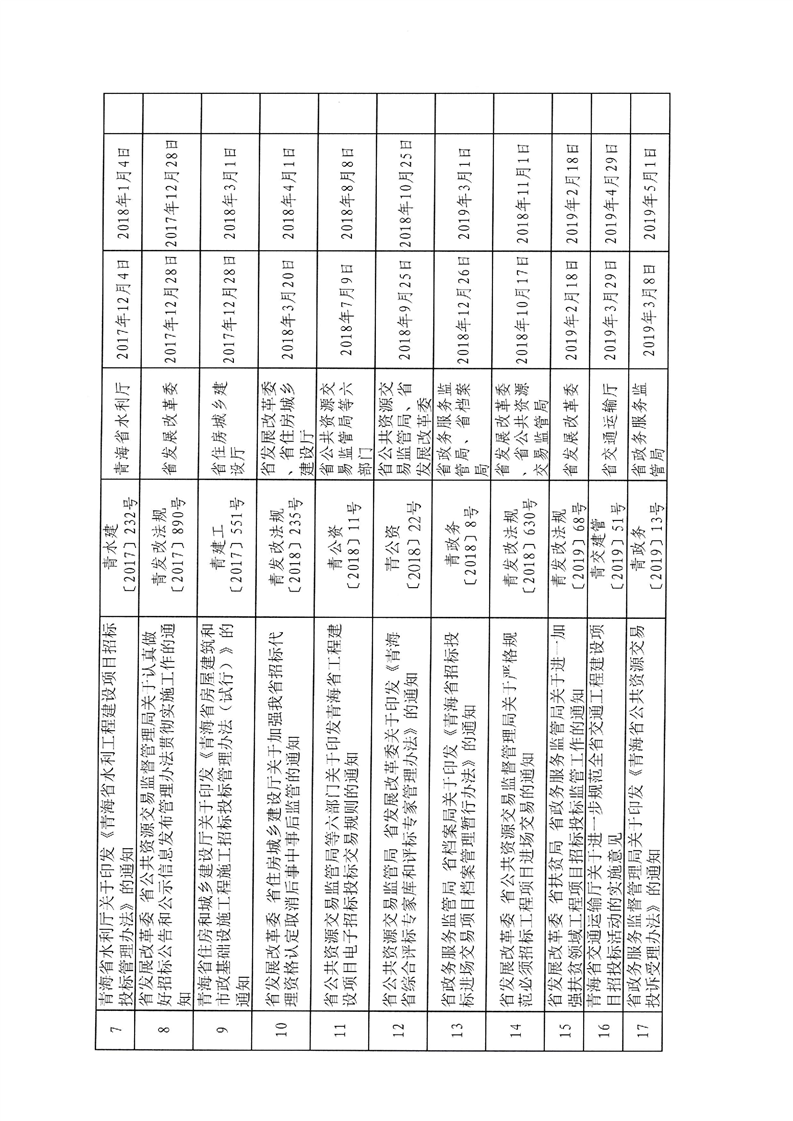
关于印发青海省现行招标投标地方性法规及行政规范性文件目录(2022年)的通知
【 信息时间:2022/05/30】
【 阅读次数:
】
打印
关闭
附件:
01-青海省人民代表大会常务委员会公告2003年第6号青海省实施《中华人民共和国招标投标法》办法.doc
02-青政办〔2012〕177号关于青海省实施中华人民共和国招标投标法实施条例意见的通知.docx
03-青政办【2013】320号转发青海省公共资源交易监督管理局关于青海省省级公共资源交易市场监督管理办法的通知.doc
04-青建工〔2015〕166号青海省住房和城乡建设厅关于改革非国有资金投资房屋建筑和市政基础设施工程项目发包方式的通知.pdf
05-青发改法规〔2016〕802关于印发建立市场主体及第三方参与公共资源交易活动社会评价机制的工作意见的通知.doc
06-青政办〔2017〕130号关于印发青海省公共资源交易平台管理暂行办法的通知.doc
07-青水建[2017]232号关于印发青海省水利工程建设项目招标投标管理办法的通知.pdf
08-青发改法规【2017】890号关于认真做好招标公告和公示信息发布管理办法贯彻实施工作的通知.pdf
09-青建工〔2017〕551号关于印发青海省房屋建筑和市政基础设施工程施工招标投标管理办法(试行)的通知.pdf
10-青发改法规[2018]235号关于加强我省招标代理资格认定取消后事中事后监管的通知.doc
11-青公资〔2018〕11号关于印发青海省工程建设项目电子招标投标交易规则的通知.doc
12-青公资〔2018〕22号关于印发《青海省综合评标专家库和评标专家管理办法》的通知.doc
13-青政务〔2018〕8号关于印发《青海省招标投标进场交易项目档案管理暂行办法》的通知.doc
14-青发改法规〔2018〕630号关于严格规范必须招标工程项目进场交易的通知.doc
15-青发改法规〔2019〕68号关于进一步加强扶贫领域工程项目招标投标监管工作的通知.doc
16-青交建管【2019】51号关于进一步规范全省交通工程建设项目招投标活动的实施意见.pdf
17-青政务〔2019〕13号关于印发《青海省公共资源交易投诉受理办法》的通知.doc
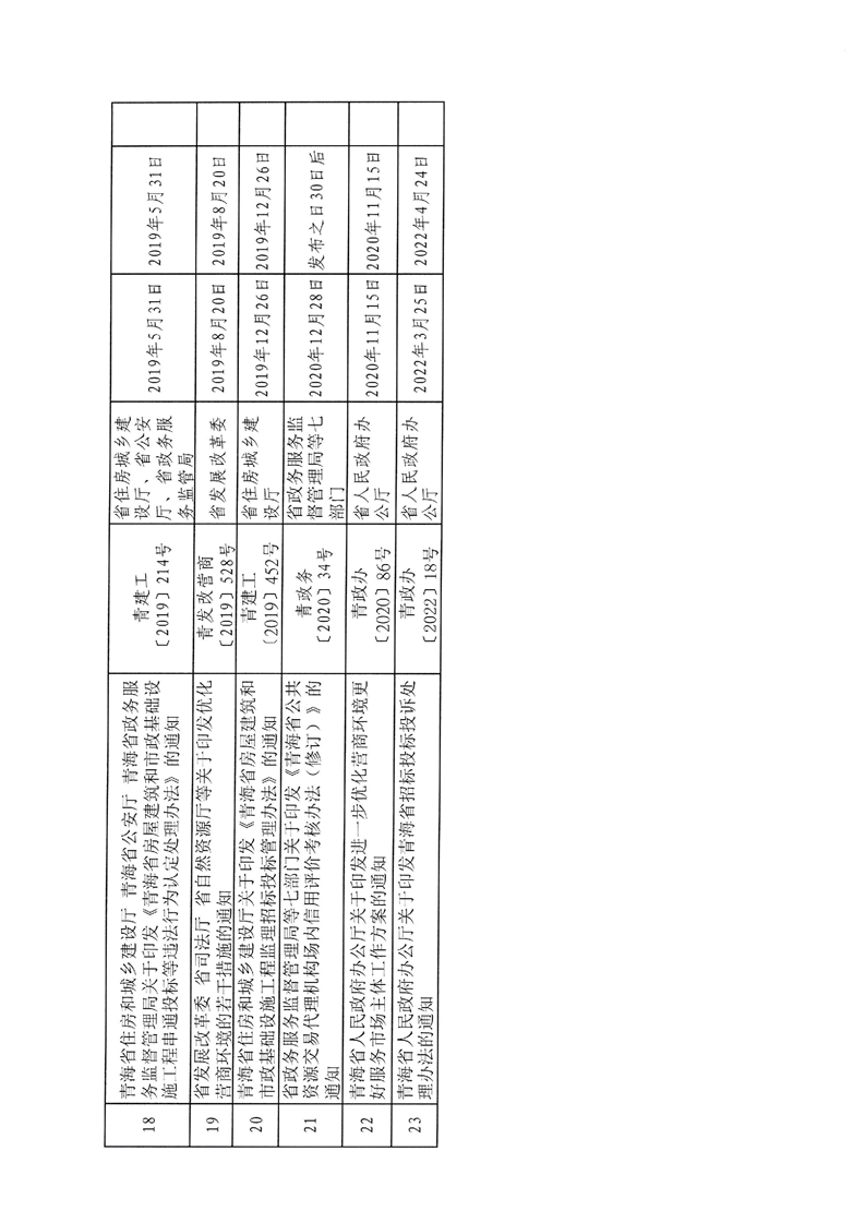
18-青建工〔2019〕214号关于印发青海省房屋建筑和市政基础设施工程串通投标等违法行为认定处理办法的通知.pdf
19-青发改营商[2019]528号关于印发优化营商环境的若干措施的通知.doc
20-青建工〔2019〕452号关于印发青海省房屋建筑和市政基础设施工程监理招标投标管理办法的通知.pdf
21-青政务〔2020〕34号关于印发《青海省公共资源交易代理机构场内信用评价考核办法(修订)》的通知.doc
22-青政办〔2020〕86号关于印发《进一步优化营商环境更好服务市场主体工作方案》的通知.doc
23-青政办〔2022〕18号关于印发青海省招标投标投诉处理办法的通知.doc